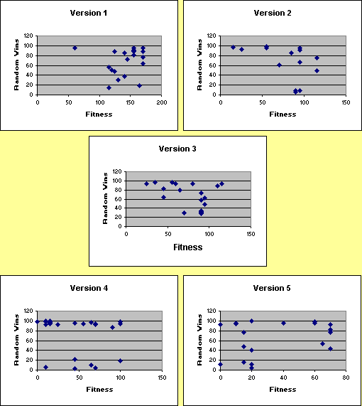
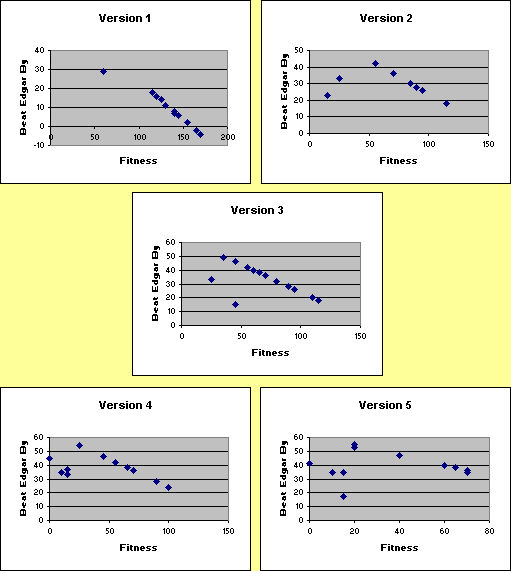
| VERSION | TERMINALS | CODE MODIFICATIONS |
| V1 | black, white | Reduced original code |
| V2 | black, white white_edges, black_edges |
Reduced original code |
| V3 | black, white white_edges, black_edges white_corners, black_corners |
Reduced original code |
| V4 | black, white white_edges, black_edges white_corners, black_corners white_near_corners, black_near_corners |
*Original code* |
| V5 | black, white white_edges, black_edges white_corners, black_corners white_near_corners, black_near_corners white_near_near_corners, black_near_near_corners |
Expanded original code |
| VERSION | AVERAGE FITNESS AGAINST EDGAR (lower rating is "better" fitness) | AVERAGE WINS AGAINST RANDOM PLAYER (out of 100 games) | AVERAGE NUMBER OF POINTS BY WHICH IT BEATS EDGAR |
| V1 | 141.75 | 68.30 | 6.65 |
| V2 | 75.63 | 64.50 | 28.94 |
| V3 | 76.25 | 65.50 | 30.85 |
| V4 | 38.79 | 78.62 | 36.59 |
| V5 | 35.24 | 62.67 | 39.57 |

